方位角计算器是一款通过方位角计算公式方便用户进行计算的小工具,在这里你不需要考虑太多因素,也不会很封闭式开发者已经将计算的公式以及运算方式编译到软件中,您只需要安装软件的界面功能提示输入对应的坐标就可以计算方位角,并且通过一个图形显示方位角,即时查看AB间距以及角度数据;黄太山方位角计算软件也是支持XY坐标转换的,经常有这方面需求的朋友不要错过!

方位角计算器软件功能
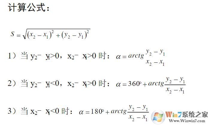
1、简单的坐标计算, 可以输入您需要计算的具体内容;
2、可以设置点A坐标XA30、点B坐标XB15;
3、计算的结果是AB间距=18.601、143.746162262度;
4、方位角143-44-46、度、分、秒;
5、如果您选择XY坐标转换,可以显示 YA158、YB43;
6、结果是AB间距=115.974;
7、方位角262.568592028度、262-34-7度、分、秒。
方位角计算器软件特色
1、立即计算方位角数据。得到的结果立即复制;
2、简单的方位角数据测试,随便输入一个测试的数据;
3、通过一个图形显示具体的角度;
4、2014年9月30日编写加强版。
方位角计算公式:


上一篇:小飞侠随机抽取器
下一篇:火箭水印电子印章软件


360解压缩软件2023
看图王2345下载|2345看图王电脑版 v10.9官方免费版
WPS Office 2019免费办公软件
QQ浏览器2023 v11.5绿色版精简版(去广告纯净版)
下载酷我音乐盒2023
酷狗音乐播放器|酷狗音乐下载安装 V2023官方版
360驱动大师离线版|360驱动大师网卡版官方下载 v2023
【360极速浏览器】 360浏览器极速版(360急速浏览器) V2023正式版
【360浏览器】360安全浏览器下载 官方免费版2023 v14.1.1012.0
【优酷下载】优酷播放器_优酷客户端 2019官方最新版
腾讯视频播放器2023官方版
【下载爱奇艺播放器】爱奇艺视频播放器电脑版 2022官方版
2345加速浏览器(安全版) V10.27.0官方最新版
【QQ电脑管家】腾讯电脑管家官方最新版 2024
360安全卫士下载【360卫士官方最新版】2023_v14.0