Graphviz 是一款开源的图形可视化软件,图可视化是一种将结构信息表示为抽象图和网络图的方法。Graphviz布局程序以简单的文本语言对图形进行描述,并以有用的格式制作图表,例如用于网页的图像和 SVG;用于包含在其他文件中的 PDF 或 Postscript;或显示在交互式图形浏览器中。它在网络、生物信息学、软件工程、数据库和网页设计、机器学习以及其他技术领域的可视化界面中具有重要应用。

使用教程
一、如何加入或合并 dot 中的某些边缘路线?您可以尝试运行,dot -Gconcentrate=true或者您可以引入自己的虚拟节点,绘制为要分割或连接边缘的小圆圈:
digraph G {
yourvirtualnode [shape=circle,width=.01,height=.01,label=""]
a -> yourvirtualnode [arrowhead=none]
yourvirtualnode -> {b;c}
}

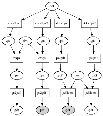
二、如何在 PDF 中生成图形布局?
如果您的 Graphviz 版本支持 cairo/pango,则可以使用该-Tpdf标志。不幸的是,这不能处理嵌入式链接。
如果您需要嵌入链接,或者没有 cairo/pango,请创建 PostScript 输出,然后使用从 PostScript 到 PDF 的外部转换器。例如,dot -Tps | epsf2pdf -o file.pdf。请注意,URL 标签受到尊重,以允许可点击的 PDF 对象。
如果您打算在某些文档准备系统(例如 pdflatex)中将图形用作 PDF,则使用-Tps2而不是-Tps. 一般来说,如果你真的想要PDF输出,也就是你想要一个-Tpdf标志,-Tps2在转换为PDF之前使用。
在下图中,阴影节点将包含错误输出。

三、如何在neato中绘制多个平行边?
当 splines 属性为 false(这是默认值)时,将多边绘制为简单弯曲边的主轴。没有尝试避免中间节点。
当 splines=true 或 polyline 时,多边线将绘制为大致平行的样条线或多段线。这依赖于没有节点重叠。
四、如何对称(平衡)树布局?
当一个树节点有偶数个子节点时,它不一定位于中间的两个节点之上。如果你知道子节点的顺序,一个简单的技巧就是引入新的、不可见的中间节点来重新平衡布局。连接边也应该是不可见的。
digraph G {
a -> b0
xb [label="",width=.1,style=invis]
a -> xb [style=invis]
a -> b1
{rank=same b0 -> xb -> b1 [style=invis]}
b0 -> c0
xc [label="",width=.1,style=invis]
b0 -> xc [style=invis]
b0 -> c1
{rank=same c0 -> xc -> c1 [style=invis]}
}

上一篇:门店管理软件
下一篇:Canva在线平面设计软件


360解压缩软件2023
看图王2345下载|2345看图王电脑版 v10.9官方免费版
WPS Office 2019免费办公软件
QQ浏览器2023 v11.5绿色版精简版(去广告纯净版)
下载酷我音乐盒2023
酷狗音乐播放器|酷狗音乐下载安装 V2023官方版
360驱动大师离线版|360驱动大师网卡版官方下载 v2023
【360极速浏览器】 360浏览器极速版(360急速浏览器) V2023正式版
【360浏览器】360安全浏览器下载 官方免费版2023 v14.1.1012.0
【优酷下载】优酷播放器_优酷客户端 2019官方最新版
腾讯视频播放器2023官方版
【下载爱奇艺播放器】爱奇艺视频播放器电脑版 2022官方版
2345加速浏览器(安全版) V10.27.0官方最新版
【QQ电脑管家】腾讯电脑管家官方最新版 2024
360安全卫士下载【360卫士官方最新版】2023_v14.0