
软件特色
适用人群MathType可适用于教育教学、科研机构、工程学等领域人群;

兼容各版本Office
MathType与Office有很好的兼容性,支持各版本的Office软件;

MathType可适用于800+软件应用程序和网站建立公式;

支持手写
MathType支持手写输入公式,智能识别手写内容,轻触鼠标编写即可完成;

所见即所得
点击MathType界面中的模板,只需适当的修改就完成公式的编辑任务;

自动化处理
支持一键转换为Latex、Amslatex等代码,只需单击一次,公式便跃然纸上。

使用教程
1、首先打开公式编辑器,进行公式编辑。首先我们需要熟悉一下编辑模板上有哪些公式,这些公式的位置在哪里。熟悉了之后再进行公式编辑的时候会更流畅 自如。.png)
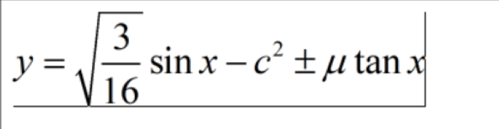
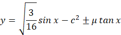
2、然后开始公式编辑,在这里我以下图为例。接下来就是向大家讲解如何使用mathtype7来编辑这个公式。
.png)
3、先打出“y=”,接下来需要找到根号√的位置。选择√工具,然后我们需要在√的里面输入3/16,先找到“-”工具后在相应的位置输入相应的数字。公式模板具体位置如图所示:
.png)
4、然后sinx只需要直接输入就可以了,不需要模板。下一步我们要找到的模板是幂函数,点击相应的模板,输入数字2就可。里面的模板里都有一个黑点,黑点的位置就是等会儿需要输入数字的位置。所以这里面需要看清楚黑点的位置。不要选错了。
.png)
5、然后需要输入±号,这个公式的模板位置如图所示:
.png)
6、下一步是找到希腊字母μ,这个字母的位置如图所示,在这个模板里面基本上都是希腊字母。
.png)
7、最后只需要直接输入tanx就行了。让我们看一下最后公式编辑的效果。
.png)
以上就是MathType破解版的介绍以及下载地址,喜欢的朋友赶快下载吧!


360解压缩软件2023
看图王2345下载|2345看图王电脑版 v10.9官方免费版
WPS Office 2019免费办公软件
QQ浏览器2023 v11.5绿色版精简版(去广告纯净版)
下载酷我音乐盒2023
酷狗音乐播放器|酷狗音乐下载安装 V2023官方版
360驱动大师离线版|360驱动大师网卡版官方下载 v2023
【360极速浏览器】 360浏览器极速版(360急速浏览器) V2023正式版
【360浏览器】360安全浏览器下载 官方免费版2023 v14.1.1012.0
【优酷下载】优酷播放器_优酷客户端 2019官方最新版
腾讯视频播放器2023官方版
【下载爱奇艺播放器】爱奇艺视频播放器电脑版 2022官方版
2345加速浏览器(安全版) V10.27.0官方最新版
【QQ电脑管家】腾讯电脑管家官方最新版 2024
360安全卫士下载【360卫士官方最新版】2023_v14.0